測量是按照某種規律,用數據來描述觀察到的現象,即對事物作出量化描述。測量是對非量化實物的量化,為其提供量化的數據、單位、誤差指標等等的過程。
1.測量對象:主要指幾何量,包括長度、面積、形狀、高程、角度、表面粗糙度以及形位誤差等。由于幾何量的特點是種類繁多,形狀又各式各樣,因此對于他們的特性,被測參數的定義,以及標準等都必須加以研究和熟悉,以便進行測量。
2.計量單位:我國國務院于1977年5月27日頒發的《中華人民共和國計量管理條例(試行)》第三條規定中重申:“我國的基本計量制度是米制(即公制),逐步采用國際單位制。”1984年2月27日正式公布中華人民共和國法定計量單位,確定米制為我國的基本計量制度。在長度計量中單位為米(m),其他常用單位有毫米(mm)和微米(μm)。在角度測量中以度、分、秒為單位。
測量誤差是測得值減去被測量的真值。
絕對誤差可用下式定義:
Δ=x-L

式中: Δ——絕對誤差;
x——測量值;
L——真值。
采用絕對誤差表示測量誤差, 不能很好說明測量質量的好壞。 例如, 在溫度測量時, 絕對誤差Δ=1 ℃, 對體溫測量來說是不允許的, 而對測量鋼水溫度來說卻是一個極好的測量結果。
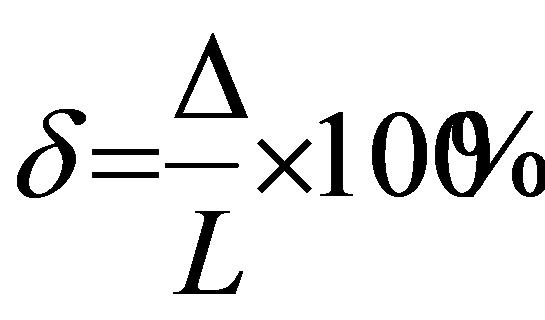
相對誤差可用下式定義: 如圖所示

式中: δ——相對誤差, 一般用百分數給出;
Δ——絕對誤差;
L——真值。
標稱相對誤差:如圖所示
引用誤差可用下式定義:如圖所示

引用誤差是儀表中通用的一種誤差表示方法。
儀表在規定的標準條件下所具有的誤差。
儀表的使用條件偏離額定條件下出現的誤差。
對同一被測量進行多次重復測量時, 絕對值和符號不可預知地隨機變化, 但就誤差的總體而言, 具有一定的統計規律性的誤差稱為隨機誤差。引起的原因是測量過程中測量人員和測量設備的隨機因素造成的,在測量過程中是不可避免的,只能通過提高測量實施人員的測量技術技能,改善測量方法或提高測量儀器儀表系統的精度來減少隨機誤差。
對同一被測量進行多次重復測量時, 如果誤差按照一定的規律出現, 則把這種誤差稱為系統誤差。例如, 標準量值的不準確及儀表刻度的不準確而引起的誤差。引起的原因,主要是由于測量實施方案或測量儀器儀表系統的不完善造成的,可以通過改進完善測量方案或改進測量儀器儀表系統來減少系統誤差。
明顯偏離測量結果的誤差。引起的原因主要是測量環境突然改變或測量實施過程中的錯誤等不穩定、不可預測的原因造成的,
一般在測量結果分析過程中予以剔除或忽略。
測量誤差的性質如圖所示
